Willkommen bei der Hilfe zu "Physik compact"-Online!
Links öffnen im selben Fenster, außer es wird anders angegeben (speziell externe Links öffnen immer ein neues Fenster).

Links, die zu einem Werk des Lehrgangs führen, erkennen Sie an einem graphischen Symbol, das auch zeigt, zu welchem Werk die Verknüpfung führt. Wenn Sie mit der Maus über das Symbol gehen, erhalten Sie Informationen über den Inhalt.
Beispiel: Formeln zur gleichförmigen Bewegung
Ein Klick führt zu Basiswissen 5, 3. Kapitel

Beispiel: Formeln zur gleichförmigen Bewegung
Dieser Link führt zu einer interaktiven Simulation.

Beispiel: Formeln zur gleichförmigen Bewegung
Dieser Link führt zu einem Test.

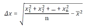
Formeln sind in MathML gesetzt. Sollte Ihr Browser diese nicht darstellen können, verwenden Sie bitte einen Browser mit dieser Fähigleit (z. B. Firefox). Hier finden Sie eine "Übersicht über die Darstellung von MathML in Browsern (öffnet ein neues Fenster)! Test:
Δx= x 1 2 + x 2 2 +...+ x n 2 n x ¯ 2
und (etwa) so sollte es aussehen (Bild!):
Bilder lassen sich durch einen Klick auf Bildschirmgröße bringen (eine weiterer Klick verkleinert sie wieder). Beispiel:
Witz 2


Nachrichten bitte an: